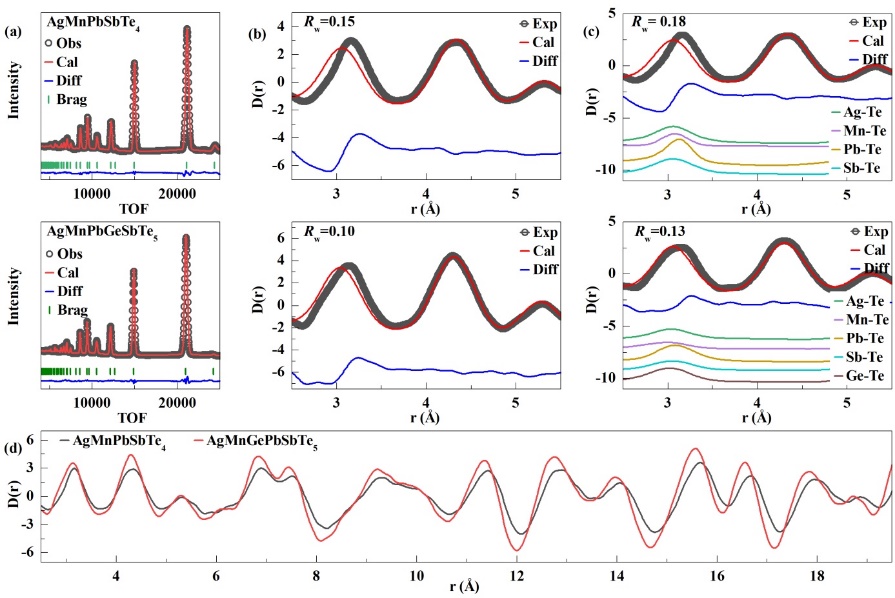
近日,中国科学院高能物理研究所东莞研究部殷雯研究员团队利用中国散裂中子源多物理谱仪,基于中子衍射与对分布函数(PDF)分析,在约3 Å处发现与理想结构模型的显著偏离,证实材料内部存在特定且显著的局域结构畸变,打破了基于传统PbTe结构的固有认知。研究进一步揭示,高熵材料中“长程阳离子无序”与“短程化学有序”并存,为解决热导率与电导率之间的相互制约问题提供了关键结构依据。
此外,该研究首次系统阐释了高熵策略引发的化学键演变规律:随着组分由PbTe逐步增至五元及六元体系,化学键特性从纯离子键逐渐过渡至混合共价‑离子键,并最终强化为更具共价‑离子协同作用的新型键合形式。这一微观化学环境的转变,直接触发了宏观电导率的显著提升与热输运行为的异常变化。
本研究不仅首次在实验上明确了高熵热电材料中局域结构的具体形态与演化路径,更建立了从原子尺度化学键合行为到宏观热电性能的清晰关联,为基于“熵工程”理性设计下一代高性能热电材料提供了关键科学依据。
调控高熵材料的局域原子结构,是协调电子与声子输运行为、突破热电性能瓶颈的重要途径,在可再生能源领域具有广阔的应用前景。然而,传统分析手段在探测材料内部局域原子环境方面存在局限,导致构型无序与熵在材料稳定中的作用长期被掩盖,结构‑性能间的内在关联亦难以深入揭示。
本研究工作得到了国家重点研发计划、国家自然科学基金、广东省基础与应用基础研究基金的支持。相关计算在国家高能物理科学数据中心大湾区分中心/中国科学院高能物理所散裂中子源科学计算平台完成。中国科学院高能物理研究所东莞研究部李静玉博士、王浩博士、中核武汉核电运行技术股份公司马征博士为论文共同第一作者。殷雯研究员为论文唯一通讯作者。该成果以“Boosting Thermoelectric Properties of High-Entropy Chalcogenides through Local Structural Distortion and Tailored chemical Bonding”为题发表在《Journal of the American Chemical Society》期刊,并被期刊评为封面文章。相关工作链接:https://pubs.acs.org/doi/10.1021/jacs.5c12728

图: AgMnPbSbTe4与AgMnGePbSbTe5的中子衍射(NPD)及对分布函数(PDF)谱图的实验数据与理论拟合结果。