引 言
大爆炸理论表明,宇宙诞生初期正反物质是等量产生的;然而当今宇宙,无论是一粒细沙还是一颗恒星,都由物质组成,我们尚未发现任何宇宙原初反物质,这就是“正反物质不对称”。1967年,萨哈罗夫提出了解释正反物质之谜的三个必要条件[1],其中之一就是电荷共轭(C)—宇称(P)对称性破坏,简称CP破坏。最近,北京谱仪Ⅲ(BESⅢ)国际合作组首次在量子纠缠的正反超子对衰变中发现直接测量CP弱相位的新方法,测量敏感度是之前实验的一千倍。尽管目前没有观测到CP不对称的证据,但这一创新方法为未来实验上发现超子CP不对称性指明了方向,为理解宇宙正反物质不对称提供了新视角。相关成果发表在Nature杂志[2]。
CP对称性描述了正反粒子(C对称)所遵守的物理定律在镜像变换(P对称)后是相同的。这一对称性,在强相互作用和电磁相互作用下成立;而在弱相互作用下则轻微破坏。在标准模型中,Cabibbo—Kobayashi—Maskawa(CKM)矩阵中的相位角是其唯一来源。CP破坏首先于1964年在中性
介子混合和衰变中被发现;又相继在2001年B介子,2019年
介子衰变中被发现。然而值得注意的是,目前实验所测量的CP破坏:(1)都是在自旋为0的介子衰变中;(2)结果均与标准模型预言一致,大小却并不“足够”。这是因为正反物质不对称可能来自于早期的重子生成(Baryogenesis),而重子生成在动力学上要求存在足够程度的CP破坏,因此在重子领域探寻CP破坏就显得极为重要。

图1 BESⅢ上正反科西(Ξ)超子对产生和级联衰变示意图
超子是重子的一种,至少含有一个奇异夸克,早期是在宇宙线实验中被首次发现,在20世纪70年代的打靶实验中被广泛研究。相较而言,在北京正负电子对撞机上研究超子物理,虽然产额相对较低,但是却有如下优势:(1)正反超子成对关联产生;(2)物质效应小,背景干净可控;(3)超子衰变所产生的带电径迹和中性簇射都可以被精确重建。因此北京谱仪实验上的超子物理学既丰富又独特[3],其中最关键的是:通过分析描述量子关联产生和级联衰变的联合角分布,可以对正反超子极化和其弱衰变不对称性参数同时进行精确测量,整个过程如示意图1所示。
北京谱仪实验
北京正负电子对撞机(BEPC)是设计工作在2—5 GeV陶—粲能区的高亮度正负电子对撞设备。在此能区,BEPC可以针对第三代轻子——陶子(τ)和第二代上型夸克——粲夸克展开基础研究。既能通过陶轻子和粲夸克弱衰变研究电弱统一理论,又能通过粲偶素研究量子色动力学(QCD)的非微扰效应[4]。
BESⅢ实验至今已连续13年顺利取数,在质心系能量2.0—4.95 GeV能区内积累了超过40 fb−1积分亮度的数据。2016年BEPCⅡ的峰值亮度达到了设计指标1×1033 cm−2 s−1,创造了陶—粲能区的正负电子对撞亮度的国际纪录。2019年2月BESⅢ实验按照计划[5],完成了100亿J/ψ事例的积累,这是有史以来正负电子对撞中采集的最大的J/ψ数据样本。平均每一千个J/ψ约可以产生
等正反超子各一对[6],最终可以重建出几百万乃至上千万的超子样本,这为精确测量CP破坏等提供了坚实的基础。
探索正反物质不对称的新方法
3.1 兰布达超子
BESⅢ上的超子物理研究开展于2015年,首篇文章[7]利用13亿J/ψ事例,挑选出约42万个
信号事例。相对于自旋为0的
等介子,兰布达
超子的自旋为1/2,它和它的反粒子来自J/ψ衰变,而J/ψ是由正负电子对撞产生,即
。这一过程产生的正反超子对形成了独特的量子关联(自旋纠缠)系统;而
会继续衰变到质子和
介子,这由衰变参数α,β和γ来表征[8],整个过程是一条级联的衰变链。系统来看,正反
对的产生阶段,其相互作用由强子电磁形状因子描述,它们可进一步被比值参数αψ和相对相位差ΔΦ表示;只有ΔΦ非零,我们才能观测到超子极化。而有了超子的极化,描述正反超子衰变的衰变参数αΛ和
才能够在衰变末态的角分布公式中[9]各自独立出现,进而做到同时直接测量。从物理上看,极化体现了超子的自旋在垂直于产生平面(横向)方向投影的平均值非零;从实验的角度来看,超子自旋无法被直接观测,但其弱衰变末态的出射角度会在沿母粒子自旋方向和其他方向上有不同几率的分布,因次超子的极化效应可通过末态质子的角分布来测量。最终,我们在世界上首次观测到了显著的Λ超子横向极化并同时测量到了正反
超子的衰变参数。如果CP对称性成立,那么衰变参数之间满足
。最近BESⅢ更新了100亿J/ψ数据的结果[10],实验精度提高了三倍,在千分之几的灵敏度下未发现超子衰变中CP破坏存在的迹象。同时,测定Λ超子的衰变参数平均值为0.7542±0.0022,精度处于世界最高水平,且比过去实验测量值大了超过5倍标准偏差[6]。这表明在过去40多年的时间里,
超子的衰变参数被低估了17%!这个测量结果,将作为对以往测量的重要修正和其他实验测量的输入,也会刷新大批其他超子、粲重子和底重子衰变参数的测量值。
3.2 科西超子
相较而言,科西
超子的统计量虽小于
,可供研究的物理却更为丰富。这是由于:(1)其级联衰变的级数比Λ多了
这一级,因此对事例的信息利用度更高;(2)
衰变的末态之一是可以继续发生弱衰变的
超子,从而我们不仅可以像质子那样测量其角分布,也可以进一步测量其极化。这就能够同时测量其母粒子Ξ的两种衰变参数α和β,进而构建出更多的独立的CP破坏观测量[11]。衰变参数之间的关系如图2所示。

图2 超子弱衰变不对称参数关系图。上半圆的直角三角形对应超子的幺正性α2+β2+γ2=1;下半圆的则对应反超子的幺正
。如果CP守恒,那么这两个三角形全等且上下成轴对称,ΔCP=0,
BESⅢ最近分析了13亿J/ψ数据,重建出约7.3万高纯度
信号样本。通过拟合其级联衰变的微分角分布[12],同时测量到了包括
极化、
衰变参数、
衰变参数、CP破坏、强相位差、弱相位差等多项重要的物理参数[2]。其中,对反超子
两项衰变参数的测量均是世界首次,如图3所示。

图3 BESⅢ对正反Ξ超子衰变参数的测量以及与ParticleDataGroup(PDG)的对比。红色代表衰变参数α,蓝色代表ϕ角(
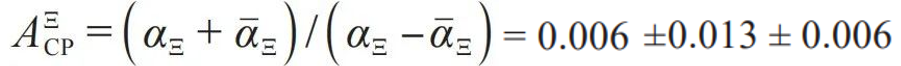
)。黄色背景为BESⅢ的结果,其中浅黄色是已发表的利用13亿J/ψ数据的结果,深黄色是预期的利用100亿J/ψ数据的结果;绿色则代表PDG的世界平均值同时,也正是得益于此,此项工作中可以分别从三个独立的角度来检验CP破坏,这是史无前例的。其一,正反Λ超子的衰变参数,其差异
,这一项验证了BESⅢ之前的测量[7]。并且,虽然信号量较小(7.3万<42万),测量精度却相当,这是由于更多层的级联衰变提高了事例信息利用度(9维>5维),并且与αΛ相耦合的极化项也更大,增幅效应更强。其二和其三,正反Ξ超子的两项衰变参数:
,
,这两项独立的CP破坏检验都是世界首次。更重要的是,通过巧妙构建观测量,BESⅢ实现了对
衰变强相位差和弱相位差的直接测量。强相位来自于
的末态相互作用,由于末态既可以是S波(轨道角动量为0,宇称破坏)也可以P波(轨道角动量为1,宇称守恒),因此不同波的振幅之间就存在强相位差δP-δS=-0.040±0.033±0.017。作为对比,美国费米实验室的HyperCP实验是专门用来研究超子CP破坏的实验装置,重建出来的正反科西超子共计约1.5亿个,测量结果0.102±0.039的精度和BESⅢ实验是同水平的[13]。BESⅢ实验13亿J/ψ事例中,衰变到正反超子对的几率为千分之一左右,可以重建出约7.3万个正反超子对,所以BESⅢ的实验敏感度是HyperCP的一千多倍!这得益于量子关联—级联衰变的创新性实验方法、BESⅢ优异的探测器和合作组成员精良的数据处理及分析技术。弱相位则来自于
弱衰变中的CKM矩阵元相角或者可能的新物理CP破坏项,其差值同样来自P波和S波之间,测量结果是0.012±0.034±0.008,这是对于奇异重子最精确的CP破坏检验之一,更是重子领域对于弱相位差的首次直接测量,如图4所示。

图4 BESⅢ对强相位差和弱相位差的直接测量以及和HyperCP的对比。黄色背景代表BESⅢ的结果,其中浅黄色是利用13亿J/ψ(重建后为7.3万个正反Ξ)已发表的测量值,深黄色是预期的利用100亿J/ψ(估计将重建出60万余正反Ξ)的结果;灰色背景代表HyperCP约1.5亿正反Ξ的测量结果
总结及展望
BESⅢ合作组利用积累的大量J/ψ数据和新颖强力的实验方法,以极高的精度研究了超子的极化、衰变参数,探寻了超子(重子)领域的CP破坏。虽然目前的结果关于重子CP破坏尚不能形成断言,但多项测量结果均是世界首次,测量精度也是世界最高。这对于我们检验标准模型、寻找新物理和理解宇宙的正反物质不对称性提供了非常大的帮助。利用全100亿J/ψ和30亿ψ(3686)数据对
(Y代表超子)、特别是对
的分析正在紧锣密鼓地进行中,届时测量精度会再提高几倍!而在未来可能的超级陶粲工厂上[14,15],J/ψ的统计量将会提高一千倍,统计误差也将达到10−4这一标准模型预言的数值范围[16];如果再考虑到极化束流的增强效应[17,18],是否能发现超出标准模型的CP破坏值得期待。但是,在未来进行这种类型的精确测量,需要更为谨慎:要有先进的探测器以保证更好的顶点和次级顶点重建水平;提高带电粒子测量的动量分辨和中性光子测量的能量分辨;更重要的是要考虑各种物质效应和探测器磁场带来的超子自旋进动的影响[8,19]。最终在全面考虑了各项修正和系统误差的精细处理后,将误差控制在万分之一的水平。这无疑是一项极具挑战的工作,就像缪轻子反常磁矩一样[20],我们必须做好细致的探测器设计、刻度、校准和模拟,也需要全体科研人员的协心戮力。